Saturday April 2026

হটলাইন

সেবা এবং ধাপ

নং শিরোনাম সেবার ধাপ কার্যকলাপ
  
গর্ভবতী মায়ের সেবা পাওয়ার প্রসেসিং ম্যাপ দেখুন
গর্ভোত্তর মায়ের সেবা পাওয়ার প্রসেসিং ম্যাপ দেখুন
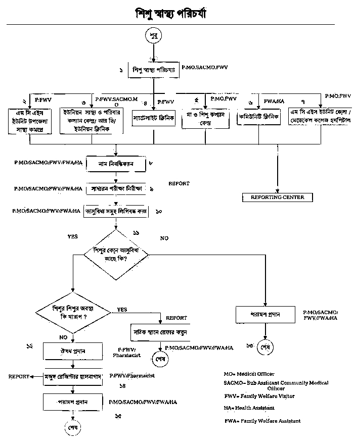
শিশু স্বাস্হ্য সেবা পাওয়ার প্রসেসিং ম্যাপ দেখুন
ঝুকির্পূণ ও জটিল গর্ভবতী মাকে রেফার সংক্রান্ত সেবা পাওয়ার প্রসেসিং ম্যাপ দেখুন
দেখছেন ১ থেকে ৪ পর্যন্ত, মোট ৪ এন্ট্রি

এক্সেসিবিলিটি

স্ক্রিন রিডার ডাউনলোড করুন